ヘロンの公式の証明

ヘロンの公式の証明する

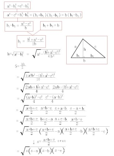
最長辺を b とする
a^2-b1^2=c^2-b2^2 --(1)
b1+b2=b --(2)
(1)から、
a^2-c^2=b1^2-b2^2=(b1+b2)(b1-b2)=b(b1-b2)
b1-b2=(a^2-c^2)/b --(3)
(2)(3)から、
b1=(b+(a^2-c^2)/b)/2
h=√(a^2-b1^2)=√(a^2-((b+(a^2-c^2)/b)/2)^2)
三角形の面積Sは、
S=b*h/2
=√((a^2*b^2-((b^2+(a^2-c^2))/2)^2)/4)
となる。
三角形の3辺から面積を求める公式です。

ヘロンの公式 -ヘロンの公式を証明してくだされ- 数学 | 教えて!goo
から
■
んじゃ余弦定理使うやつで。
、
三角形の面積をSとし、3辺をそれぞれa,b,cとする。
sinの面積公式より、S=1/2absinC
三角比の相互関係より、
S=1/2ab√1-cos^2C
余弦定理より、
S=1/2ab√1-(a^2+b^2-c^2/2ab)^2
変形しまくって(以下省略。さすがにめんどくさすぎた。)
√s(s-a)(s-b)(s-c)
■
有名な証明が何通りもあるけど、
私は内接円を使うやつが好きだな。
△ABC の三辺を BC=a, CA=b, AB=c と置く。
また、内心を I 、
点I から辺 BC, CA, AB へ降ろした垂線の足をそれぞれ点P,Q,R とし、
内接円半径を r と置く。
(以下、自分で図を書いてみてから読んでね。)
内心が各角の二等分線上にあることから
△IAR ≡ △IAQ, △IBR ≡ △IBP, △ICP ≡ △ICQ であり、
AR = AQ, BP = BR, CQ = CP が成り立つ。
これらの等式は、AR, BP, CQ に着目すると
AR = c - BP, BP = a - CQ, CQ = b - AR と書ける。
連立一次方程式を解けば、
s = (a+b+c)/2, AR = s - a, BP = s - b, CQ = s - c と書ける。
△IAR, △IBR, △ICP に注目すると
tan∠IAR = r/(s-a), tan∠IBR = r/(s-b), tan∠ICP = r/(s-c) であるが、
△ABC の内角の和 2∠IAR + 2∠IBR + 2∠ICP = π から
∠IAR + ∠IBR + ∠ICP = π/2 となるので、
1/tan∠IAR + 1/tan∠IBR + 1/tan∠ICP = 1/{ tan∠IAR tan∠IBR tan∠ICP }
が成立して …[1]
(s-a)/r + (s-b)/r + (s-c)/r = (s-a)(s-b)(s-c)/r^3.
この式 r について解くと
r = √{ (s-a)(s-b)(s-c)/s } となって、内接円半径が求まる。
= (1/2)cr + (1/2)ar + (1/2)br
= (1/2)(2s)r
= √{ s(s-a)(s-b)(s-c) }
となる。
[1] の証明を添えとかないとね。
α + β + γ = π/2 のとき
1/tanα + 1/tanβ + 1/tanγ = 1/(tanα tanβ tanγ) を示す。
tan(α+β) の加法定理を使って、
1/tanα + 1/tanβ = (tanα + tanβ)/(tanα tanβ)
= tan(α+β)・(1 - tanα tanβ)/(tanα tanβ)
= tan(π/2 - γ)・{ 1/(tanα tanβ) - 1 }
= (1/tanγ)・{ 1/(tanα tanβ) - 1 }
= 1/(tanα tanβ tanγ) - 1/tanγ.
■
