SonofSamlawのブログ

うひょひょ

水素原子のシュレーディンガー方程式の処理法

     


ライター:misao007009さん(最終更新日時:2017/4/3)投稿日:2017/4/3    
 
 
 水素原子のシュレーディンガー方程式の処理法

 


■質問

https://detail.chiebukuro.yahoo.co.jp/qa/question_detail/q11172521556

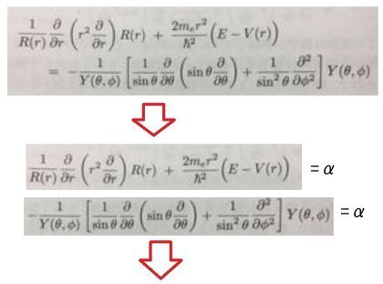
時間に依存しないシュレーディンガー方程式を極座標に変換し、変数分離法を使ったところで、「r、θ、φのいずれにも依存しないある定数になっている」と書いてあるのですが、どう言う意味でしょうか? 

 

https://detail.chiebukuro.yahoo.co.jp/qa/question_detail/q11172524646

どうやったらこの解が出せるのですか? 

 

 

■回答

これみてちょ